首页
找工作
找人才
人才驿站
领航跨国人才
我要招人
登录/注册
全 文
职位名
公司名
搜索
服务热线咨询:
025-84761050
025-84687245
4
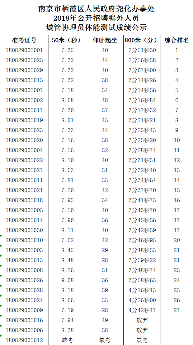
南京市栖霞区人民政府尧化办事处 2018年公开招聘编外人员 城管协理员体能测试成绩公示
来自:原创 发布时间 :2018-09-11
分享到: